液状PDMSの硬化反応の評価
事例No.
OK-0018
概要
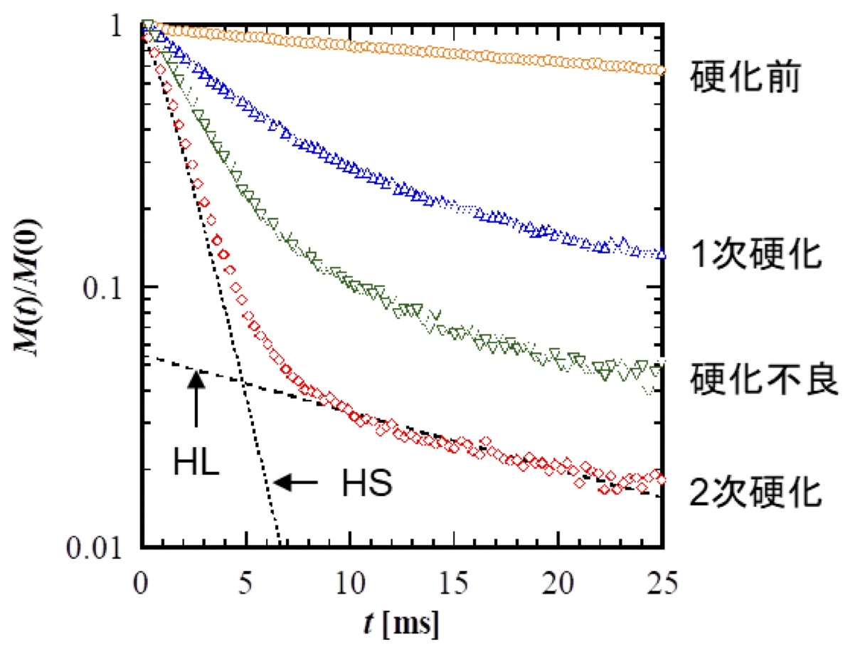
液状ゴムのスピン‐スピン緩和挙動を解析して硬化反応を評価する。
お困りごと・要望
液状ゴムの硬化の進行を知りたい。硬化反応や反応条件の良否を判定したい。
事例提供機関
サンプル
分析方法
サンプルのスピン‐スピン緩和挙動を測定し、架橋相の量と分子運動性を追跡する。
分析結果
関連装置
Bruker、minispec mq20
開放機器データベース
日本電子、JNM-MU25
コメント
硬化の進行、硬化の良否を判定可能
適用可能な材料
ゴム一般


