Department of Energy and Environment

Energy Network Research Team

R&D for the Deployment of Advanced Grid Stabilization and Power System DX Technologies

Overview

As renewable energy sources increasingly become the core of global power generation, modern electricity networks must achieve unprecedented levels of flexibility and stability.
The growing penetration of variable renewable sources such as solar and wind poses new challenges, including maintaining supply-demand balance, managing bidirectional power flows, and ensuring grid resilience.

To address these challenges, our team is developing next-generation energy infrastructures that integrate renewable energy with advanced digital technologies.
Our research focuses on three technological pillars: Advanced Power System Networks (Advanced NW), Power Digital Transformation (Power DX), and Sector Coupling, which together support the transition toward a sustainable and resilient energy system.

【Fig.1】Three pillars of technological development

Research Target

We aim to establish a flexible and robust power network capable of accommodating the large-scale integration of renewable energy.
By combining digital innovation with distributed energy resources, we strive to realize a next-generation energy infrastructure that underpins a carbon-neutral society.

Research Outline

  • Advanced Power System Network (NW)
    :We are developing Grid Forming Inverter (GFM) technologies to ensure stable power system operation even during grid disturbances or failures.
    Through advanced microgrid control and enhanced system resilience, we aim to build a flexible and decentralized power network suited for the future distributed energy society.
  • Power System Digital Transformation (Power DX)
    :We are advancing data-driven power management and analytics through model-free approaches using smart meters and AI.
    These technologies form the foundation for real-time supply-demand control and energy aggregation businesses, enabling smarter and more autonomous power systems.
  • Sector Coupling
    :To achieve total optimization across energy domains, we are promoting the integration of electricity, heat, and transport sectors.
    Our research explores the use of carbon-free fuels such as hydrogen and ammonia, electric vehicle (EV) integration, and demand-side energy management, creating new energy services through the coordination of distributed resources.

Through these research activities, we will make scientific and technological contributions toward the realization of a sustainable society that balances the expansion of renewable energy with the stable supply of electricity.

Goal

Through these research efforts, we aim to make scientific and technological contributions to the realization of a sustainable, carbon-neutral society, balancing the expansion of renewable energy with the stable and efficient supply of electricity.

For more details and project updates, visit:
Energy Network Research Team Special Website (This page is available only in Japanese)

Activities and Achievements

[Advanced Network] Development of advanced inverter technology to enable renewable energy sources to become the main power source

The stability of power supply in power systems is primarily supported by thermal power generation.
For renewable energy sources (hereinafter referred to as "RES") to replace thermal power generation as the main power source, it is necessary to replace the system stabilization functions of thermal power generation with RES or other equipment.
Our team is focusing on the advancement of grid-connected inverters for RES or batteries as one solution to this issue and is conducting research and development.
As part of NEDO (New Energy and Industrial Technology Development Organization) commissioned projects, we are developing Grid-Forming control technology, which enables inverter power sources to behave as voltage sources like synchronous generators, as next-generation inverter technology.
In this project, AIST is collaborating with industry and academia to engage in the development of actual Grid-Forming control-equipped inverters, the examination of grid connection requirements and specifications, and the evaluation of the introduction effects and impacts through simulation studies.

Verification of the Contribution of Grid-Forming Control to Frequency Stability

Under conditions where inverter power supplies have replaced synchronous generators, there is concern that frequency fluctuations may become more frequent due to a decrease in system inertia.
To clarify the effectiveness of introducing Grid-Forming inverters in addressing this issue, we conducted evaluations using instantaneous value simulations and Hardware-In-the-Loop (HIL) tests combining actual inverters with real-time simulators.

【Fig.2】Verification results of frequency fluctuation suppression effects by inverter power supply (IBR) introduction level (HIL test).
Comparison between conventional inverters (Grid-Following), advanced Grid-Following inverters, and Grid-Forming inverters.
While conventional inverters and advanced Grid-Following inverters exhibit unstable operation in areas with high IBR introduction rates, Grid-Forming inverters operate stably and demonstrate high frequency fluctuation suppression effects.

Evaluation of the Impact of Inverter Current Limiting on Grid-Forming Control Effectiveness and Proposal of Countermeasure Control

Inverters are known to have lower overcurrent tolerance compared to synchronous generators, and it is common practice to incorporate overcurrent suppression functionality when applying Grid-Forming control to inverters.
Various methods exist for current limiting, and the impact on Grid-Forming control performance varies significantly depending on the method employed.
AIST has proposed a method for theoretically evaluating the impact of current limiting on the phase angle stability of power systems.
Additionally, as a countermeasure to avoid the destabilization of Grid-Forming control caused by current limiting, we have also proposed a method that adjusts the magnitude and phase of the voltage generated by the Grid-Forming control as a voltage source according to the inverter's output.

【Fig.3】Changes in power phase angle curves according to current limiting methods
【Fig.4】Effect of control measures to mitigate the impact of current limitation

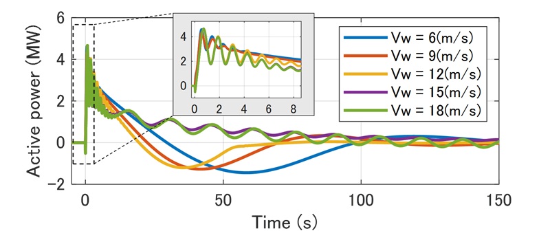
Development of Grid-Forming Control for Wind Power Generation

Grid-Forming inverters act as voltage sources that form power systems, responding quickly to various disturbances in the system and adjusting output.
In solar and wind power generation, output is suppressed in advance to enable response to both increases and decreases in output, thereby fully utilizing the capabilities of Grid-Forming control.
However, in wind power generation, rotational energy is constantly stored in wind turbines, and utilizing this energy for disturbance response could potentially reduce the need for curtailment operation.
The National Institute of Advanced Industrial Science and Technology (AIST) has identified the conditions under which Grid-Forming control can utilize rotational energy without destabilizing wind power generation through Electro-Magnmeting Transint (EMT) simulations.

【Fig.5】Output response of wind power generation grid forming
【Fig.6】Operating point behavior of wind power generation grid forming

[Power DX] Development of Next-Generation DSR Control Technology Using Data-Driven System Analysis(NEDO Leading Project*1

In this research, we are developing "data-driven (model-free) power system analysis technology" that can analyze the state of power systems without relying on conventional power system models by utilizing big data from smart meters and other sources.
This enables aggregators and other entities to understand system constraints and achieve efficient DSR (demand-side resource) control even without detailed information about the distribution system.

We are aiming to achieve high accuracy in learning the relationship between voltage and power using machine learning, with voltage estimation errors at each point kept within 1%.
Furthermore, based on the information obtained, we are developing control support technology that incorporates voltage compensation effects using smart inverters such as storage batteries.

This technology will facilitate the management of power systems that are becoming increasingly complex due to the expansion of renewable energy, contributing to the optimal utilization of distributed energy and stable power supply.

*1:NEDO Leading-Edge Research Program / International Joint Research and Development of Innovative Technologies in the Energy and Environment Field / International Joint Research and Development of Data-Driven DSR Control Technology for Energy Sharing

Background

  • With the introduction of demand-side resources (DSR) such as renewable energy and EVs, there are concerns about voltage deviations and equipment capacity overloads in distribution systems.
    It is expected that DSR output will be suppressed to avoid deviations and overloads.
  • It is important for distribution system operators to understand the status of distribution systems for system management, and for DSR managers to maximize profits.
Conventional and proposed methods for power flow calculation
【Fig.7】Transitioning State Estimation from Model-based to Data-driven

Main results

  • The proposed method enables voltage estimation without using a system model by constructing a machine learning model that learns the relationship between active power and voltage that will be acquired by smart meters in the future.
  • In addition, by incorporating the physical laws of electrical circuits (Kirchhoff's laws) into the learning procedure, we improved the estimation accuracy and achieved the intermediate evaluation target of a voltage error of 1% or less.
Proposed method and its results
【Fig.8 (a)】A distribution system to be verified
Proposed method and its results
【Fig.8 (b)】 Results of Voltage Estimation Error Using the Proposed Method

[Power DX] Cyber Security and Communication Protocols
Cybersecurity Architectures and Protocols for Resilient Smart Energy Systems

The increasing integration of renewable energy sources, smart inverters, and DERs into modern power systems has introduced new cybersecurity challenges.
As energy systems evolve into highly automated, communication-dependent networks, ensuring their resilience against cyber threats becomes paramount.
This research focuses on developing secure architectures, protocols, and simulation platforms that address vulnerabilities in smart grid components, particularly at the distribution level.
By combining power systems engineering with advanced cybersecurity methodologies, the work aims to safeguard critical infrastructure, enhance situational awareness, and support the deployment of secure, scalable energy technologies.
The outcomes contribute to international standards and offer practical solutions for utilities, manufacturers, and policymakers.

[1] Cybersecurity Considerations for Distributed Energy Resources on the U.S. Electric Grid, October 2022, report prepared by Cybersecurity, Energy Security, and Emergency Response and the Office of Energy Efficiency and Renewable Energy, U.S. Department of Energy

[2] Energy Modernization Cybersecurity Implementation Plan, December 2024, The White House

[3] Cybersecurity Strategy, September 28, 2021, The Government of Japan

[4] Cybersecurity Guidelines for Energy Resource Aggregation Business, May 30, 2025, Ministry of Economy, Trade and Industry, Japan

Cybersecurity Vulnerability Analysis and Mitigation for Smart inverters

Smart inverters are essential for maintaining grid stability in systems with high penetration of renewable energy.
However, their active role in voltage regulation, frequency control, and reactive power support makes them attractive targets for cyberattacks.
This project investigates the control logic and communication interfaces of smart inverters to identify potential attack vectors, such as false data injection, command spoofing, and firmware manipulation.
Using the Sora-Grid simulation platform, realistic attack scenarios are modeled to assess their impact on grid operations.
The research proposes layered defense mechanisms including anomaly detection, secure firmware updates, and device authentication protocols.
These findings highlight the need for distribution-level cybersecurity standards and provide actionable insights for inverter manufacturers and grid operators.

【Fig.9】Standard and Hacked Volt-War Curves for Smart Inverter Control

Secure Communication Protocols for Grid Automation and Control

Modern smart grids rely on real-time communication protocols to coordinate protection, control, and monitoring functions.
Protocols such as IEC 61850 and IEC 62351 are widely adopted but still face challenges in ensuring message integrity, authentication, and confidentiality.
This project develops enhanced versions of these protocols, including the Secure GOOSE and Sampled Values (S-GoSV) framework, which integrates cryptographic techniques to prevent unauthorized access and data tampering.
The research also explores lightweight security mechanisms suitable for constrained devices and latency-sensitive applications.
Through simulation and hardware-in-the-loop testing, the protocols are validated for performance and robustness.
The outcomes support the development of secure substation automation systems and contribute to the evolution of international standards for grid cybersecurity.

【Fig.10】Laboratory set-up for testing GoSV conformance withcommercial packages cross platforms
【Fig.11】Different cyberattacks on GOOSE messages exchanged in Smartgrids

AI-Enhanced Cybersecurity Mechanisms for Smart Grid Infrastructure

The complexity and scale of modern smart grids demand adaptive and intelligent cybersecurity solutions.
This project explores the integration of artificial intelligence (AI) into various cybersecurity mechanisms to enhance the resilience of smart grid infrastructure.
AI techniques are applied to multiple layers of grid security, including intrusion detection, anomaly detection, threat prediction, and automated response systems.
By analyzing operational data, communication patterns, and device behavior, AI models can identify subtle indicators of cyber threats that traditional systems may overlook.

Intrusion Detection Systems (IDS) serve as a key application area, where machine learning algorithms are trained to detect unauthorized access, data manipulation, and coordinated attacks in real time.
Beyond IDS, the project investigates AI-driven risk assessment tools, reinforcement learning for dynamic policy adaptation, and federated learning approaches to preserve data privacy across distributed energy resources.
The research also emphasizes explainability and trust in AI decisions, ensuring that operators can understand and act on system alerts effectively.
These AI-enhanced mechanisms aim to create a proactive cybersecurity posture, enabling smart grids to anticipate, withstand, and recover from cyber incidents with minimal disruption.

【Fig.12】AI-based Intrusion detection Mechanism for Smartgrids
【Fig.13】Visualization of attacks from Smartgrid communication patterns

[Advanced Network] Building local grids with renewable energy

This research is working on improving protection systems and early detection of faults from the perspective of ensuring public safety and protecting equipment in the event of a power failure in Katsurao Sosei Electric Power's power system.

【Fig.14】The scenery of Katsuragi Village

In the distribution system in question, three high-voltage power lines are installed at the top of utility poles, through which electricity is supplied.
When a fault occurs in the distribution system, power supply is interrupted, making it essential to quickly identify and remove the fault point for prompt restoration. The fault modes of power lines are primarily classified into three categories, as shown in Fig15, and Table 1.

The identification of fault points is currently performed manually, taking an average of approximately 45 minutes from the time of arrival at the site.
In particular, the specific transmission and distribution utility in the region under consideration has limited personnel, making it necessary to introduce methods for accurately and efficiently identifying fault points.

【Fig.15】Failure modes of distribution lines
【Table.1】Description of failure mechanisms in distribution lines.

The power system under consideration is typically connected to a large-scale system and can supply power independently in the event of a fault.
Using the simplified model distribution line shown in Fig.16(a), the differences in current waveforms on the power supply side and the terminal side before and after the fault were calculated using transient analysis software.
The fault point is set between points ② and ③ in Fig.16(a).
The results of the analysis for each fault mode are shown in Fig.16 (b).
Fig. 14(b) shows that during large-scale independent operation, the current behavior differs between the power source side ② and the terminal side ③ on either side of the fault point.
This difference makes it possible to identify that the fault point is located between ② and ③ as shown in Table 2.
By utilizing this method, it is expected that the fault section can be identified early, contributing to a reduction in the time required for fault detection and a reduction in the workload of personnel.

【Fig.16 (a)】Model distribution line used in the simulation
【Fig.16 (b)】Current variations of ② and ③ in the model distribution line
Image of surplus utilization through seasonal storage
【Table.2】Method for determining fault points

Development of Seasonal Storage Technology for Effective Utilization of sSurplus Renewable Energy Power Generation

The output of renewable energy sources includes various periodic fluctuations, ranging from daily variations to seasonal and annual variations.
When large amounts of renewable energy are introduced, long-term fluctuations such as seasonal variations become more pronounced, potentially leading to concentrated excess power generation during periods of high power generation.
Seasonal storage or long-duration energy storage (LDES) could absorb this surplus and discharge it during periods of low power generation, thereby enabling the effective utilization of surplus power and reducing reliance on thermal power generation during periods of insufficient power generation.
The National Institute of Advanced Industrial Science and Technology is evaluating the feasibility of seasonal storage in Japan, including its economic viability and appropriate storage technologies (hydrogen storage, lithium-ion batteries, etc.).

Image of surplus utilization through seasonal storage
【Fig.17】Image of surplus utilization through seasonal storage
【Fig.18】Annual optimal operation pattern for large-scale power storage

Main Research Facilities

Facilities

Our team utilizes two distributed power supply research and development platforms.

Description

The Energy Network Research Team is accelerating research and development of advanced power system by establishing the following advanced evaluation and development environments.

Power Hardware-in-the-Loop (PHIL) Test Environment

This test method connects actual inverters, energy storage systems, and other hardware to a real-time power system model to reproduce and evaluate behavior under conditions close to reality.

  • Utilizing the world's largest 7.5 MVA-class grid simulation power source
  • Simulates future high-renewable energy grid conditions and evaluates the limit performance of GFM inverters
  • Conducts resilience evaluations by reproducing grid faults and disturbance conditions

Equipment: RTDS (NovaCor 2.0, NovaCor, PB5), Grid Simulator (SanRex: 7.5MVA, 5MVA, 0.5MVA, Ametek: 30kW), Battery & PV Simulator (Myway: 200kW, SanRex: 5MW, 250kW), Programmable LCR Load (SanRex: 5MW, 200kW)

Controller Hardware-in-the-Loop (CHIL) Test Environment

Connect actual control devices (inverter controllers, EMS, etc.) to a virtual power system model to verify the validity and stability of control logic with high accuracy.

  • Flexible scenario construction using DRTS (Digital Real-Time Simulator)
  • Comparison of frequency and voltage responses based on different control methods is possible
  • Multi-stage evaluation combining CHIL and PHIL is possible

Equipment: TyphoonHIL, RTDS (NovaCor)

Rapid Control Prototyping (RCP) Environment

This is a prototype development environment for verifying control algorithms under development in a high-speed prototyping environment and smoothly transitioning them to actual control devices.

  • Establishment of a design, implementation, and verification flow incorporating model-based development
  • Enables consistent development from design to verification through integration with PHIL/CHIL
  • RCP environment for rapid verification and optimization of various control methods on actual equipment

Equipment: Imperix, PE-Expert

With this equipment, the Energy Network Research Team is accelerating the practical application of next-generation inverter technology, microgrid control, and advanced power system technology.
This equipment is also actively used in joint research and evaluation tests with domestic and overseas companies and research institutions.

【Fig.19】DER laboratory, Energy Management Building, FREA

Power system analysis simulation

We analyze the behavior of power systems in response to various disturbances that occur in power systems.

Steady-state simulation

  • Software and languages: OpenDSS, CPAT, Matlab
  • Overview:

    This software is used to calculate the power flowing through the transmission and distribution lines and the voltage of each bus under specific demand conditions.
    It is based on electric circuit calculations using the phasor representation (RMS value representation) of alternating current.

Dynamic Simulation

  • Software / Languages: PowerFactory, CPAT, MATLAB
  • Overview:

    This simulation is used for evaluating the transient stability of synchronous generators under short-circuit faults and for assessing system frequency responses following generator outages (frequency stability assessment).

    In a power system model composed of transmission and distribution lines, generation sources, and loads, the simulation iteratively solves power flow equations using phasor representation of AC signals and differential equations representing the dynamic characteristics of generation units.
    This enables time-series analysis of voltage, current, and active/reactive power behavior at generators and transmission lines.

Time-Domain Simulation (Electromagnetic Transient Analysis)

  • Software / Languages: PSCAD, XTAP, MATLAB Simulink
  • Overview:

    This simulation captures electromagnetic transients through time-domain analysis, accommodating microsecond-level dynamics of power electronic devices.

    As inverter-based power sources become more prevalent, the demand for this type of simulation has increased.
    It can analyze a wide range of phenomena, from those typically studied in dynamic simulations to high-frequency oscillatory behaviors such as resonance.

Power Supply Operation Simulation (Unit Commitment Problem)

  • Software / Languages: Gurobi, MATLAB, Python
  • Overview:

    This refers to mathematical programming-based simulation techniques used to determine the economically optimal operation of power sources while maintaining the balance between electricity supply and demand.

    It calculates the unit commitment status, output levels of existing power plants, charge/discharge power of storage systems, and curtailment of renewable energy sources over arbitrary periods (e.g., daily, weekly, yearly) and time intervals (e.g., 30 minutes, 1 hour).

Control System Stability Assessment

  • Software / Languages: MATLAB, MATLAB Simulink
  • Overview:

    This involves evaluating the stability of power systems—including small-signal angle stability and resonance—as well as the closed-loop control stability of next-generation inverters.

    The analysis techniques include pole-zero analysis, eigenvalue analysis, and frequency response analysis.

【Fig.20】High-speed calculations are possible with parallel computers (PSCAD)

Smart grid Cyber Security and communication Testing Environment Description

【Fig.21】Smartgrid Communication and Control Environment

This test setup is designed to evaluate the performance and reliability of smart grid communication protocols, particularly IEC 61850, under realistic operating conditions.
The goal is to simulate how DERs, electric vehicles (EVs), and control systems interact through standardized messaging in a live grid scenario.
This environment bridges real-time power system simulation with actual or emulated communication devices, allowing researchers to test how control commands and status updates are exchanged across the grid using industry-standard protocols.

This setup provides a controlled, repeatable, and scalable environment to test smart grid communication protocols under realistic conditions.
It helps ensure that systems using IEC 61850 can operate reliably even in the presence of cyber threats, latency, or hardware failures—making it a vital tool for cybersecurity research in energy systems.

Team Member

Title Name
Leader, Team HASHIMOTO Jun
Senior Researcher USTUN Taha Selim
Senior Researcher KODAMA Yasuhiro
Senior Researcher ORIHARA Dai

▲ PAGETOP